原文标题:《Censorship resistance in Bitcoin and Ethereum》
原文作者:Allen Zhao, Mustafa Yilham, Henry Ang & Jermaine Wong,Bixin Ventures
原文编译:Evan Gu,Wayne Zhang,Bixin Ventures
八月初,美国财政部海外资产控制办公室 (OFAC) 决定将 Tornado Cash 添加到制裁名单中的消息将抗审查的问题放到了聚光灯下。为免除相关刑事责任,RPC 服务提供商 Alchemy 和 Infura 限制了对 Tornado Cash 智能合约数据的访问,Circle(USDC 发行商)也将制裁名单上的钱包地址列入黑名单。 黑名单列出的地址也同样遭到了例如 Aave 等 Defi 协议的禁止,但用户仍然可以交互一些智能合约,不过需要许多额外步骤和一些技术方面的专业知识。
这让我们思考一个更加普遍的问题:区块链在协议层面会被审查吗? 以太坊社区已经出现对协议级别审查的担忧, 66% 的信标链验证者在合并后对于 OFAC 法规表示很敏感。 如果超过 1/3 的验证者(按权益权重)被以任何形式进行审查,以太坊链将无法正常运行。
在本文中,我们将通过三个关键问题,比较 BTC (POW) 和 ETH (POS)在抗审查方面的表现,最后再给出我们的思考。
“审查”的定义
在最近的 Bankless 播客中,Justin Drake 定义了两种不同类型的审查:弱审查和强审查
弱审查:当某些被审查的区块生产者没有将个人交易包含在区块中时,就会发生弱审查,从而导致用户体验下降。比如一个合规的区块生产者拒绝来自黑名单地址的交易,但是,该交易最终仍由非审查区块生产者接收。
强审查:当个人的交易永远不会被包含在链上时,就会发生强审查。 鉴于个人已经失去了交易的能力,这种情况可以认为资产实际上已经损失了。 这种情况可能发生在网络被多数人接管时,也称为 51% 攻击,一旦发生则可能威胁到被攻击区块链的继续存在。
在下面的讨论中,我们将分别把比特币和以太坊作为 POW 和 POS 系统的代表网络进行对比。我们将首先确定审查要素有哪些,然后再详细介绍比特币和以太坊是如何实现抗审查的。
问题 1 :当矿工/区块验证者比较集中时,可能会出现通过管辖权进行监管的弱审查
比特币和以太坊都分别面临着矿池和验证节点中心化的问题。 这可能产生一种攻击方式即矿池或验证者节点可能被迫遵守法规,并审查在其管辖范围内被视为非法的任何交易。
以太坊
自合并以来,前两名质押服务商合计持有 43.03% 的份额,前三名持有 51.63% 的份额。这里的风险在于, 如果 Lido 和 Coinbase 联合起来,可以使网络停止运行;如果 Kraken 也加入,那么三者将可以接管以太坊网络。
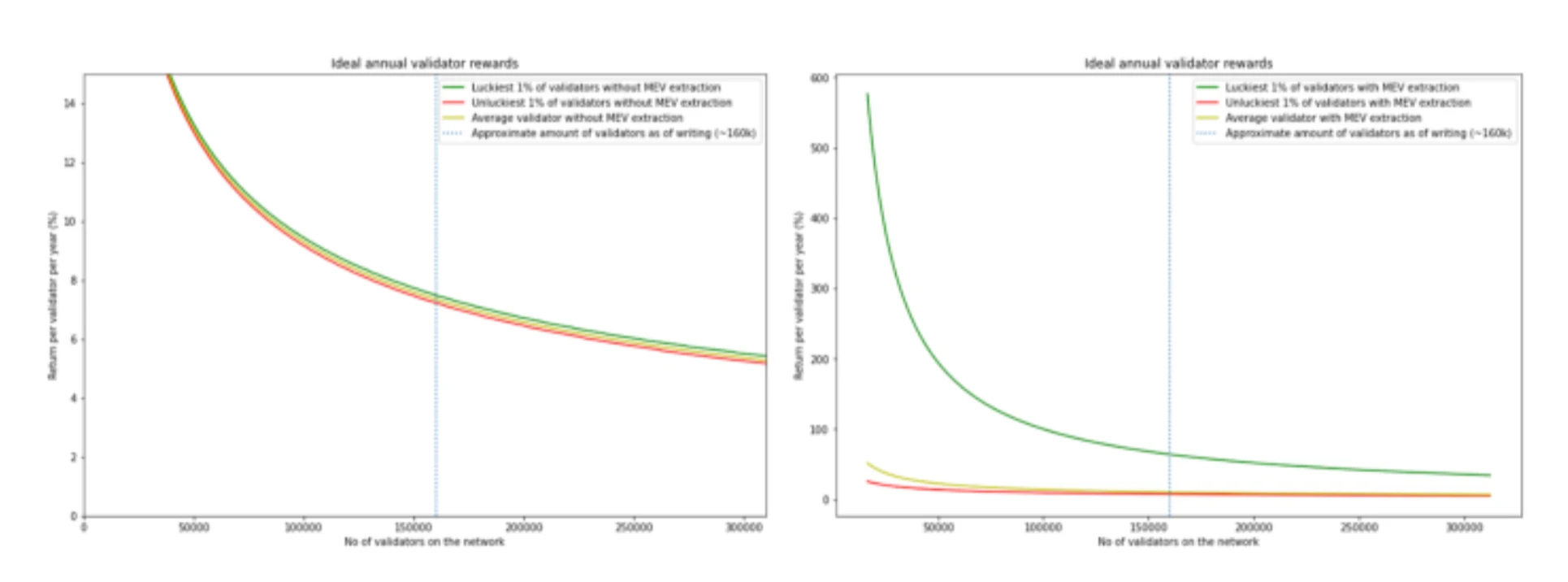
在研究以太坊是如何应对中心化威胁之前,我们先介绍为什么验证者最终会变得中心化。 在以太坊的 POS 机制下,区块生产者可以选择将哪些交易包含在下一个区块中以及后续是如何排序的。这允许验证者参与 MEV 提取的过程,Amber 在他们最近关于 ETH 合并的文章中对此进行了很好的定义。
“最大可提取价值,也称 MEV,广义上是指矿工或验证者在给定可用的操作中,在一系列区块中获得剩余价值。 这些操作可以包括对交易重新排序、审查区块,甚至尝试重组区块链。 一些常见的 MEV 形式包括三明治攻击、套利和清算。”
来源:Flashbots
如图所示,一旦考虑 MEV,验证者奖励就会显著增多。 由于 MEV 带来的经济激励,体量更大的参与者运行着更多验证节点,从而淘汰了个人及非专业验证节点。 因此,普通持有者更倾向于通过质押服务加入验证节点池,以获得更高更稳定的收入,从而增加了验证节点的中心化。
关于权益节点集中化的另一个考虑要素是加密货币交易所。交易所仍然是用户目前获取以太坊代币的最佳场所。考虑到他们拥有的庞大用户数量,很多代币会自然而然地聚集到这些交易所,而交易所通过他们的 Staking 平台提供便利的收益更会吸引代币的聚集。 我们应该对用户进行有关使用中心化平台进行质押风险的教育,例如如果中心化平台因司法压力可能选择恶意行事可能产生的影响。
尽管验证节点池不是最理想的解决方法,但它能让更多 ETH 持有者参与进来,所以权益池仍然是有利于以太坊的去中心化。
那么,以太坊是如何应对关于中心化方面的审查?
解决方法 1 :将区块的提议者和构建者分离
目前被广泛关注的一种解决方案是 Proposer Builder Separation (PBS)。 PBS 将区块提议者和区块构建的角色分开,这样验证者无需成为复杂的运营商即可获得 MEV 的奖励,从而减弱中心化问题。
区块链在运行过程中有三个关键参与者,它们可以互相制衡来减轻并最终消除潜在的审查。
作为专门构建区块的 Builders 通过为交易排序来提取最大的 MEV 和交易费用。之后,他们将向 Proposers 支付提议费用,并将他们的区块放到在链上。因此,如果没有 Proposer 的帮助,那些有审查目的的构建者将无法在链上发布交易。
提议者(Proposers),也称为验证者,要么选择最热门的区块,要么他们根本不会包含一个区块。如果他们认为区块构建者正在审查交易,他们有能力提出一个抗审查列表(crList),只要区块未满,或者没有提议他们的区块,构建者就必须包括这些交易。由于 EIP-1559 已经实施,超过 80% 的区块都包含备用 gas,这意味着只要用户支付高于基本费用的优先费用,他们应该能够将他们的交易包含在区块中。总之,Proposers 可以通过选择能支付最大金额的区块来实现最大收益,但仍然具有利用 crList 来强行通过审查的能力。
证明者将监控区块构建过程,并且仅在提议者的块中包含最高支付块时才证明它。这将防止恶意提议者审查交易。
尽管上述方法极大地改善了验证者的去中心化程度,但它仍然没有解决构建者的中心化问题。如何让构建者去中心化超出了本次讨论的范围,但您可以阅读此处了解更多信息。
解决方案 2 :加密内存池
另一个在研究的解决方案是采用加密内存池来应对中心化审查。用户将交易广播到内存池之前对其进行加密,只有在交易被包含在链上的区块中后才会解密。这将防止任何潜在的审查方在区块构建过程中获得交易的内容。此外,它有助于防止 MEV 滥用,例如抢跑(front-running)。 加密内存池的另一个好处是,它实际上可以在未来解决构建者的中心化问题。在这种情况下,提议者可以通过从加密内存池中挑选最高费用的交易来构建自己的区块,而无需从复杂的构建者那里挑选区块。
比特币
比特币一直被誉为“数字黄金”,这个特质不仅体在它作为一种数字化的价值存储手段,也体现在抗审查性方面。虽然比特币网络的可编程性不如以太坊,较弱的可编程性可以最大限度地降低 MEV,但它仍然面临矿工在地理上越来越集中的问题。 此外,操作矿机需要专业技术,硬件和能源也具有资本密集属性,比特币挖矿行业已朝着资源共享的方向发展,矿工按照单位算力来向矿场支付服务费,从而降低入如果自己去投资所带来的现金流压力。
来源:Cambridge Bitcoin Electricity Consumption Index
正如上图所示,在 2021 年中国禁止加密采矿之前,中国的算力占全球的 45% 以上。但算力目前已经转向美国,截至今年 1 月,美国的算力已占全球算力的 38% 。矿业公司可能会受当地法规所迫而拒绝某些交易,这就构成了审查威胁。
那么,比特币如何应对矿池中心化所带来的审查方面的问题?
解决方法一:切换矿池
一旦矿池运营商受制于审查法规从而与矿工利益相背时,矿工很容易转向其他的矿池(例如,搬到远离被审查矿池的地方)。由于采用的是按需采购算力的模式,因此矿工只需更换挖矿软件中的矿池地址即可切换到新的矿池。在矿工被中国政府禁止的 2021 年期间,矿工能够快速迁移到国外并将地址切换到离岸矿池,算力目前已经恢复且比禁令宣布之前还要高。
虽然以太坊可以根据他们的意志来让验证者撤销质押或重新质押,但由于冷却期和排队系统的缘故,仍然存在时间上的滞后。
解决方法二:让矿工更多的控制区块构建的过程
大多数比特币矿工将他们的算力导向矿池,在那里他们使用称为 Stratum v1 的消息协议与这些矿池进行通信,该协议组织矿工的创建和提交哈希。 如果矿池串通审查交易,社区就没有追索权。 但如果使用 Stratum v2,矿工将能够选择自己的交易集,从而对区块构建过程有更多控制,这可以对抗恶意矿池运营商的审查意图。
如果您有兴趣了解 Stratum v2及其功能升级方面的信息,来提升矿工的安全性和收入,请阅读此处。
解决方法三:自由市场竞争
比特币的支持者认为,工作量证明的挖矿经济激励方式是抵御任何交易审查的最佳形式。 随着每个减半周期的块奖励下降,交易费用将趋向于矿工收入的 100% 。 因此,即使任何符合监管要求的矿池或矿工对付费交易进行审查,不同司法管辖区的其他矿工/矿池也会非常乐意利用这一点抢走交易。最终,这些合规的矿池或矿工将在自由市场中被击败,从而导致他们的市场份额和盈利能力下降。
结论 1 :比特币可以比以太坊更好地处理因区块创建过程中中心化引起的审查问题。
今天的比特币更有能力应对区块构建过程中的集中化审查。 如果存在审查某些交易的矿池,矿工现在可以没有延迟地切换矿池,矿工的自主权大大的提升了。
虽然以太坊有可以解决审查问题的可行解决方案,但它主要处于研究阶段,尚未实施,因为存在与其他可编程区块链的竞争,所以需要优先考虑其他方面的功能。
问题 2 :如果网络的安全预算较少,可能会发生强审查风险
安全预算少的影响是可能导致 51% 攻击。 发生这种情况时,攻击者将能够控制区块链。 他们能够阻止传入的交易,并且能够重新对新交易进行排序。更为严重的是重写区块链的历史并撤销他们自己的交易,从而导致双花。
以太坊的安全预算
一旦对以太坊发起 51% 攻击,所有新的存款或提现都可能被攻击者审查,此时网络重新恢复将变得困难。因此,网络内的代币分布尽可能去中心化以防止通过强制手段获得所需代币,并进行攻击。在撰写本文时,有 1360 万 ETH 质押在信标链上。 以太坊的经济安全性可以通过 1360 万 ETH 乘以价格再乘以 51% ,从而得到进行交易审查所需的最低金额。以目前每个 ETH 1, 700 美元的价格计算,今天的经济安全性约为 115 亿美金。 实际上,鉴于价格会随着对 ETH 的需求增加而非线性上涨,因此成本会高得多。
由于拿出这些资金对于一些组织或者国家并不是问题,我们仍然需要考虑预防性解决方案。
解决方案一:鼓励更多的用户进行质押
与其他 POS 网络相比,目前只有 11% 的 ETH 被质押(例如 Solana 为 77% ,Cosmos 为 66% ,Avalanche 为 65% ),这意味着有很大的潜力。 随着质押量的增加,攻击者获得总质押量的 51% 将会变得非常困难。
然而,挡在更多人质押的一个障碍是 DeFi 收益对于用户的机会成本。 如果用户能够在 DeFi 中获得更好的收益,那么用户可能会优先考虑财务激励,那么 ETH 质押收益所产生的激励效果就会减少。 破除障碍的解决方案之一就是流动质押协议,但这也可能让我们重新回到了在 Lido 中看到的中心化问题。 虽然我们能看到 Lido 将权益正在分配给在其白名单上的大约 30 名验证者,但这个白名单的列表仍由仍由 Lido 控制批准。 因此,添加和删除验证者的选择标准与能力是至关重要的,这意味着去中心化自治组织内需要强有力的治理能力。
令人鼓舞的是,Lido 一直在探索使用双重治理提案的治理方案,关键治理问题投票将由 stETH 和 LDO 持有者共同参与,这样可以保持两种通证持有者之间的一致性。与抗审查相关的还有一个关键问题,有可能以一种可能有害或意想不到的方式改变节点运营商之间的股权分配方式。 在特定情况下的治理时,一旦 LDO 持有者通过了初始提案, stETH 持有者也将被涉及进来,如果所有可用的协商都失败,他们也可以退出协议。 阅读此处以获取有关投票机制和后续结果的更详细说明。
解决方案 2 :验证者多样化,以防止通过强制手段来获取治理权
如无法在市场上获得 ETH,那么另外一种获得网络控制权的方式是强制笼络 51% 的验证者。因此,通过以下形式增加验证者的多样化从而达到抗审查的效果:
提升司法管辖区/地理的多样性,以确保没有单一司法管辖区/国家可以让验证者离线
提升运营商/权益持有者的多样性,以确保在权益广泛分布的情况下,使得强制性的审查变得极其困难
提升客户端的多样性,以确保验证器客户端中没有单个错误可以使验证器脱机
降低参与的硬件要求,以确保每个人都可以根据需要启动验证器
增加具有完整交易副本的验证者的数量
解决方案 3 :社会层干预
如果预防措施失效,以太坊将通过社会层面进行干预。具体的内容是在检测到审查制度后自动执行分叉过程,同时系统会为达成分叉共识预留足够的时间。在理想情况下,完整的在线节点将通过检查内存池来识别和辨认哪些区块链是否带有审查目的,一旦发现,则会进行分叉,并惩罚带有审查目的的链,这些动作都不需要社会层面的干涉。
然而,分叉很少是直接快速就可以完成的,因为审查有时可能是偶然性的,比如是由于验证器客户端中的错误而导致的。在这种情况下,能否干预和辨别到底哪些是真实的审查哪些是意外事件是很重要的。此外,还有一些考虑因素,比如如何选择新的区块链、应该采取哪个检查点来启动新的区块链、如何惩罚新的区块链上的攻击者等等,这些问题的处理都会影响到链的经济价值。以上这些内容是为了让新的用户了解,如果他们希望参与新的未经审查的区块链,那么他们首先要可以提取链上的资金。虽然目前没有任何规则和指导来用户明白如何应对各种政策的干预,但很重要的一点是链的治理和决策过程应当尽可能去中心化。
比特币的安全预算
如果比特币受到强审查,矿工将能够挖掘出所有奖励并重组他们认为合适的链。 鉴于当前 230 m TH/s 的哈希率,假设现有矿工不参与攻击,攻击者只有拥有超过 230 m TH/s 的算力才可以控制网络。我们来算一笔账,使用当今市场上最高效的 ASIC 芯片,Antminer S 19 PRO ( 110 TH/S),总共需要 209 万个 ASIC 芯片(230, 000, 000 TH/s 除以 110 TH/s)来进行攻击。 以今天 4, 400 美元的价格计算,在不考虑能源成本的情况下,获得攻击网络的硬件所需的总成本为 90 亿美金。
解决方案 1 :由于 ASIC 芯片的获取艰难,比特币网更具抗审查性
虽然对某些攻击强烈的攻击者来说成本并非遥不可及,但在收购 ASIC 芯片时存在巨大阻力,因为只有少数公司能生产这些 ASIC 芯片。 而且由于每年上线的供应并不足,攻击者无法发动快速攻击。
解决方案 2 :矿工的转换成很低导致比特币网络的去中心化
获得控制网络所需的机器是非常难的,因此攻击很可能通过强制或控制现有矿池来实现。这个问题我们可以依靠全球不同地区出现的矿池来解决,因为它们的出现大大降低了矿工的转换成本,使得在面对审查时可以快速的切换,从而实现抗审查性。
结论 2 :在防止 51% 强审查攻击方面,比特币比以太坊更有弹性。 以太坊将社交层作为最后一道防线的解决方案为少数人提供了更多的权力,但仍然存在许多关于社会共识的问题。
从表面上看,以太坊的安全预算比比特币高。 然而,在接管比特币网络时收购硬件带来阻力比获得以太坊多数代币的成本带来的阻力更大。
如果攻击者采用替代途径强审查集中式矿池获得网络控制权,比特币的解决方案要简单得多,因为诚实的矿工可以通过切换到非攻击性矿池来帮助重新平衡哈希率。
在以太坊被强审查的情况下,虽然社会层可以进行干预,但关于如何过渡到用户激活的软分叉仍然存在许多问题。首先,非攻击参与者之间如何达成社会共识?新的少数派中的大多数是否可以做出决定?还是由核心团队来决定?决策过程可以比作“以太坊 DAO”投票以达成多数决定。那么它应该由大多数选民或多数股权决定吗? DAO 投票中的一个常见批评是,绝大多数持有者可以投票支持结果,但最终被持有更多股份的单一持有者否决。这并不是要反映决定分叉规则的实际过程,而是要强调以太坊社区尚未实施的社会治理的问题方面。最终,可能会像 Nic Carter 所说一样,社会共识层不可避免地为政治化留下了空间,以太坊可能遭受与征收制国家政府(expropriating national government)相同的命运。
因此,我们认为比特币更具弹性。 还值得注意的是,未来可能并非如此。 一种潜在情况是,随着区块奖励趋于零,如果比特币的交易活动未能回升, 缺乏交易将导致矿工缺乏收入,他们可能难以保持偿付能力。 这将导致矿工关闭矿机并导致哈希率下降,从而削弱比特币的安全预算。 所以,比特币网络需要继续吸引新用户,只有这样它才能作为一个健康的网络运行。
问题 3 :外部依赖可能造成底层网络的审查风险
稳定币
每种加密货币的面额是使用稳定币来锚定的,比特币和以太坊也不例外。快速浏览稳定币的市值,我们可以发现前 3 名都是由中心化托管人持有的法定抵押品支持。 这将它们置于监管的范围内,这就引出了一个问题:如果仅仅因为政府审查或禁止,保管人让用户无法将稳定币转为法定货币的情况出现我们要怎么办? 虽然这些不太可能发生,一旦发生产生的连锁反应是可怕的。 前不久,USDC 发行商 Circle 按照 OFAC 制裁名单,冻结了与 Tornado Cash 地址相关的价值超过 75, 000 USDC 的资金。
潜在的解决方案 1 :超额抵押稳定币
人们可以铸造一个与法定货币挂钩的代币以换取加密货币抵押品。 MakerDAO 的 DAI 是目前加密领域最大的去中心化稳定币,当资产价格开始下跌时,他们通过清算质押的加密抵押品来维持 1 DAI = 1 美元的挂钩。 自 2017 年以来,它们经历了比特币和以太坊的价格波动,已被证明是稳健的。然而,即使它们也有超过 30% 的 USDC 敞口作为其抵押品的一部分。 在最近发生了 USDC 和 Tornado cash 事件之后,他们目前正在就是否需要通过实施负利率来让 DAI 更加自由流通,以实现成为公共、中性的金融公用基础设施的愿景进行治理讨论。
Vitalik 青睐的另一个选择是 Reflexer 的 RAI。 在该协议中,用户可以存入 ETH 并铸造 RAI,最高可达所存 ETH 价值的 ⅔。 这里的主要区别在于,RAI 不像美元那样坚持固定挂钩,这意味着 RAI 的挂钩会根据市场的波动性而变化。 它们还允许负利率,这有助于提供一种平衡,在这种平衡中,过度增长可以被遏制,从而让稳定币的波动性降低。 阅读此处以获取有关 RAI 工作原理的更详细说明。
然而,超额抵押稳定币的一个基本问题是它们会持续性地从市场中提取流动性(如果我们预计金融活动会发生在加密货币上,这并不是理想的状态)。 我们还要考虑哪种抵押品可以被作为基础货币进行抵押。
比特币的可行性:比特币几乎是目前最好的质押品。 但即使目前市场上有现成的解决方案,由于超额抵押会从市场中提取流动性,但如果我们期望金融活动发生在链上,这并不是理想的解决方案。
以太坊的可行性:使用 ETH 作为抵押品的稳定币可能不是发展的方向。 如果 ETH 面临审查,这些稳定币将面临赎回问题,因为用户可能希望退出他们的 ETH 头寸。 虽然使用比特币作为抵押品可以减轻这种相关风险,但它仍然面临着流动性提取的问题。
潜在解决方案 2 :算法稳定币
尽管由于 Luna 崩盘让算法稳定币有点臭名昭著,但算法稳定币是另一种选择,算法稳定币的目标是创建一个锚定稳定币,不需要质押品,而是使用某种形式的治理代币进行锚定。 然后通过治理令牌和算法稳定币之间的套利机会进行挂钩。 但这种系统设计非常脆弱,因为它需要理性的参与者和对治理代币价值有着坚定的信心。
一旦信心被打破,死亡螺旋可能出现:治理代币价格下跌时,市场参与者非但没有维持代币价格的稳定,反而进一步抛售他们持有的治理代币,加剧了价格的下跌。
从理论上讲,算法稳定币可以在不提取流动性的情况下发挥与我们现有的部分银行系统相同的作用。 但似乎没有合适的候选项目能完善算法稳定币的系统设计,使其面临更小的风险。
比特币的可行性:不适用,市场上没有可行的候选项目。
以太坊的可行性:不适用,市场上没有可行的候选项目。
潜在解决方案 3 :比特币或以太坊作为去中心化的稳定币
思考:如果比特币成为不受审查的去中心化“稳定币”会怎样? 这似乎解决了比特币和以太坊面临的问题。
比特币的可行性:似乎比特币持有者都可以加入,因为 1 BTC = 1 BTC。 这可能会解决由于缺乏交易活动而导致安全预算下降的情况(回顾一下:区块奖励趋向于零 = 所有矿工收入取决于交易费用 = 需要足够的交易活动来保持偿付能力并保持高哈希率)。 如果 BTC 在以太坊(和任何其他可编程区块链)上广泛使用,交易活动将来自于它作为 DeFi 和许多其他应用程序的基础层货币, 然后可以为矿工维持经济激励,进一步加强对任何攻击者的审查阻力。
以太坊的可行性:想象一下如果 USDC 或 USDT 受到审查时导致链分叉,同时链上没有与法定货币挂钩的稳定币的话, 有多少用户会选择那个“有泡沫且交易量少”的稳定币? 如果将以太坊用作去中心化的稳定币,它将消除对与法定挂钩的稳定币的依赖,使链分叉在面临强大的审查攻击时成为更现实的选择。 用户将不必担心经济价值的破坏,因为以太坊作为基础层货币具有强大的抗审查特性。
RPC 网络
RPC (远程过程调用) 网络对区块链至关重要。 它提供对服务器节点的访问,并允许用户在与某个独立程序交互的同时与区块链进行通信和交互。 鉴于运行这些 RPC 节点需要特定硬件,大多数开发人员转向集中式 RPC 网络,如 Infura 和 Alchemy 来满足他们的 dApp API 需求。 缺点是这些集中式 RPC 网络可以在需要遵守任何管辖法律的情况下限制对区块链数据的访问,并且还可以作为容易受到黑客攻击的中心故障点。 最终结果是用户可能会面临服务中断,从大大降低用户体验。
解决方案 1 :轻客户端
以太坊一直在希望更多用户运行他们自己的轻客户端。轻客户端不会存储链的完整状态历史,而是依靠同步委员会同步到链上。他们还可以通过询问其他完整节点而不是通过集中式的 Infura 或 Alchemy 对网络状态进行任意查询。
比特币也一直鼓励用户运行自己的轻客户端。比特币上的轻客户端可以与网络交互但不存储区块链,并且可以向其他节点查询有兴趣的块和交易数据。
解决方案 2 :去中心化 RPC 网络
去中心化 RPC 网络提供商为分布式 RPC 节点提供经济激励,以提供应用程序和用户访问区块链数据的权限。通过使用一组去中心化的 RPC 节点,因为没有单点故障的影响,基础协议层可以增强其安全性和抗审查性。现有的解决方案包括 Pocket Network、Ankr 以及 Solana 的 GenesysGo。以太坊和比特币都将受益于去中心化的 RPC 层,考虑到使用 RPC 网络的应用程序数量较大,这将提升以太坊的抗审查能力。
核心开发人员和项目团队
Tornado Cash 的创始人 Alexey Pertsev 被捕事件引发了开发人员或项目团队是否可以对其开源代码负责话题的探讨。 那么他们应该匿名吗?易于识别的身份会将个人置于管辖范围内,这可能意味着他们容易受到监管控制。 虽然没有明确的要求创始人或开发人员需要对其代码负责,但确保团队在地理上分布以应对来自某个特定司法管辖区的任何潜在审查可能是明智之举。
结论 3 :外部依赖性对基础层协议的抗审查性方面有显著影响。
我们认为最先要解决的问题是基础层货币的选择,比特币和以太坊的经济价值都与易受美国法规影响的 USDC 和 USDT 挂钩。对于其他可能的审查风险来源包括 RPC 层和协议开发人员,我们相信现有的解决方案可以缓解并最终消除这些问题。
结语
尽管我们对比特币和以太坊进行了广泛的比较,他们在抗审查性方面也有着各自的特性和解决方案,例如比特币的特性使其适用于基础层货币,但我们仍然需要像以太坊这样的区块链的可编程性才能拥有链上应用程序。归根结底,去中心化、抗审查和主权独立的特性是比特币、以太坊和许多其他区块链都在努力实现的目标。








